Choice motivation of physical education and professional interests of future experts in physical education
Фотографии:
ˑ:
M. Nowak, Dr.
L. Nowak, professor, Dr. Faculty of physical culture, Poznan academy of physical education w Gorzowie Wielkopolskim, Poland
Introduction. The process of systemic transformation in Poland and the increasing globalization have resulted in higher education institutions facing new challenges. Education and scientific research are a tool for shaping the contemporary world: a knowledge-based economy and lifelong learning society [7, 15]. The task of a modern higher education institution, based on the humanistic concept of education, should therefore be the care for modeling the student’s personality in accordance with the established educational effects and graduate profiles. Universities are responsible for instruction quality and care for its constant evaluation in order to adjust it to the socio-economic needs, especially in the face of the trends toward popularization of higher education, the rapid pace of demographic changes in Europe, and the competitiveness of other regions of the world in this respect [1, 9].
The Bologna Declaration contains several postulates that are supposed to open the European Higher Education Area (EHEA) for a wide range of students. This is made possible through e.g. the introduction of two-cycle studies, the ECTS (European Credit Transfer System), the Erasmus program, cooperation in the field of quality assurance, and the development of lifelong learning. Promotion of the European education system goes beyond the borders of the EU, and students from Russia account for over 25% of the population of the EHEA. The scale of the Bologna process is unprecedented: it involves the higher education systems in forty-seven countries being currently redeveloped [8].
In this context the quality assurance process should be consistent with the educational effects set out in the National Qualifications Framework and the descriptors of the Bologna process [6]. In the profile of a graduate in the field of physical education it is indicated that they shall receive basic knowledge and skills in the area of social, natural and physical culture sciences, enabling them to competently edify individuals’ personalities and organisms in order to meet their needs for physical and motor development, as well as those connected with participation in physical culture. A young person’s decision to study a given field should be connected with the orientation to pursue a particular profession and at least partial fulfillment of the student’s expectations. Motives activate human behavior and trigger the pursuit of a goal. The current physical education teachers’ instruction in Poland requires major reforms, both in the system of instructing students and the selection of the content and methods and means used. According to the New Core Curriculum, four teaching hours are assigned for physical education, including two hours which are optional. The latter classes allow students to develop their interests, because they are oriented on different items: recreation and health, dance, tourism, and sports. They also show what kind of preparation is expected of a physical education teacher. The health enhancing importance of physical exercise becomes the primary goal, included in successive national health programs and several studies [12, 14] With the increasing amount of free time and general technicization of life resulting in computer addiction among children and adolescents and their escape into the world of imagination [2], the importance of education which would prepare young people to participate in broadly understood sport [13] becomes a priority in the educational system.
The need for a systematic evaluation of the quality assurance system sets the goals for the study, which aims to determine subjects’ motives of the choice of physical education courses and the satisfaction drawn from that choice in the context of their career plans.
The following hypotheses were formulated:
1. People who have chosen physical education studies, have been motivated to make this choice primarily by athletic and vocational predispositions connected with career in physical culture.
2. Physical education students mostly identify with the chosen field of study.
3. Practicing sport and motives of the choice of the field of study are related to career plans of physical education students.
Materials and methods. The need to examine quality of education in particular institutions of higher education proceeds from the guidelines of the Bologna process. The results of the present study are part of evaluation of the work of the unit. The study of 226 people (48.7% women and 51.3% men) was conducted in the academic year of 2011-2012. The subjects were students in their second and third years of first cycle studies and in their first year of second cycle studies (fourth year of study) in the field of physical education. Purposive sampling was used. In each year it embraced three groups (male, female, and mixed). The respondents lived mainly in urban areas (71.9%) and declared a very good or average material situation (54.1% and 36.2% respectively). Among them, 123 people (54.4%) had practiced elite sport prior to commencing studies. Currently 51 students continued training (22.6% of the total).
In the study the diagnostic survey method was employed, with the use of the techniques of auditorium questionnaire [3], interview and documentation analysis. The empirical material was subjected to statistical calculations in accordance with the number of the variables and their characteristics. For the statistical analysis frequency of characteristics, chi-square test of independence and multiple correspondence analysis were applied [16]. The calculations were made with Statistica 10.0 software (StatSoft, Inc. USA).
Research results. Based on the analysis of the motives of the choice of study field, their hierarchy was established (tab. 1). The most often indicated motive was having athletic predispositions (44.3%). The prospect of getting an interesting job in sport, interest in physical recreation and need for self-actualization (36.7%; 34.5; 31% respectively) were the next motives making students choose this field of study. The selection of physical education courses was also influenced by the possibility of developing an athletic career and practicing elite sport before the studies (28.3%; 23.5% resp.). Aspiring for higher education and qualifications was important for about 18%, and the desire to work in schooling for 16.4% of the subjects. Other motives received fewer responses. Not many people were motivated to choose this field of study by the role model of a physical education teacher (8%). The conviction that it would be easy to be admitted to a physical education university guided few individuals (4).
Table 1. Motives of the choice of physical education studies (%)
|
Motives of choosing physical education studies |
Total (n=226) |
|
|
|
|
n |
% |
|||
|
Having athletic predispositions |
100 |
44.3 |
||
|
Prospect of interesting job in sport |
83 |
36.7 |
||
|
Interest in physical recreation |
78 |
34.5 |
||
|
Need for self-realization |
70 |
31.0 |
||
|
Possibility of developing athletic career |
64 |
28.3 |
||
|
Practicing elite sport before studies |
53 |
23.5 |
||
|
Desire to work in physical culture institutions |
44 |
19.5 |
||
|
Conviction of necessity to obtain qualifications |
41 |
18.1 |
||
|
Necessity to obtain higher education |
38 |
16.8 |
||
|
Desire to work in schooling |
37 |
16.4 |
||
|
Conviction of attractiveness of studies |
37 |
16.4 |
||
|
Conviction of high social prestige of this occupation |
35 |
15.5 |
||
|
Desire to follow one’s physical education teacher |
18 |
8.0 |
||
|
Persuasion of friends, acquaintances |
15 |
6.6 |
||
|
Conviction of lack of difficulty in being admitted and studying |
4 |
1.8 |
||
It was found to be related to two motives of the choice of the studies (p≤0.05 for the c2 test): the desire to work in physical culture institutions (sports clubs, sport associations, administration, fitness clubs), and the conviction of attractiveness of the studies. These motives were indicated by most of those who had practiced sport in the past (72.7%; 70.3% resp.). Most of the students expressed satisfaction with the chosen field and the program of studies (74.3%), and would decide to study physical education again (69%) (Tab. 2). Satisfaction with the studies was expressed by those physical education students who were guided by sport-related motives (having athletic predispositions, interest in physical recreation, possibility of developing an athletic career), career-related motives (conviction of necessity to obtain qualifications) and autotelic ones (obtaining higher education) (p≤0.05 for the c2 test). Willingness to repeat the same choice of the field of study, in turn, was determined by motives which were sport-related (interest in physical recreation) and career-related (conviction of necessity to obtain qualifications, desire to work in schooling) (p≤0.05 for the c2 test).
Tab. 2. Motives of the choice of physical education studies and satisfaction drawn from that choice (c2 test of independence)
|
Motives of the choice of physical education studies |
Satisfaction with studies* (n=168)
|
Repetition of the same choice*(n=156)
|
|
% |
% |
|
|
Having athletic predispositions |
86.7 |
|
|
Interest in physical recreation |
85.7 |
91.9 |
|
Possibility of developing an athletic career |
88.7 |
|
|
Conviction of necessity to obtain qualifications |
89.2 |
84.2 |
|
Necessity to obtain higher education |
92.1 |
|
|
Desire to work in schooling |
|
91.9 |
* In order to achieve transparency of the results compiled in the tables, only those variables and their values which differentiated the opinions of the respondents have been included. Statistically significant independence of characteristics at p≤0.05 for the c2 test was assumed.
Career plans of 36.3% of the students were oriented toward working as a physical education teacher. For 46.5% of the subjects it was important to work for an institution connected with physical culture. The remaining students were undecided at the moment of the survey; some of them planned to obtain further education (11.5%) and/or seek employment abroad (8%).
There were statistically significant correlations between planning to work in schooling and career-related motives of the selection of studies (desire to work as a physical education teacher) (p≤0.05 for the c2 test). This motive has been very firm, it was indicated by 86.5% of the respondents. The subjects driven by sport-related motives planned to work in school less often (interest in physical recreation: 48.7%), and those whose motivation to choose the field of study was sport practiced in the past—much less often (20.8%) (Tab. 3).
Individuals who were interested in employment in institutions connected with physical culture, chose the physical education field with career-related motives (prospect of an interesting job in sport, desire to work in physical culture institutions, conviction of necessity to obtain qualifications) and autotelic motives (conviction of attractiveness of studies and much less often pursuit of higher education) (p≤0.05 for the c2 test).
Tabl. 3. Correlations between motives of the choice of physical education studies and the respondents’ career plans (p for the c2 test)
|
Motives of the choice of physical education studies |
Career plans |
|
|
|
|
Physical education teacher* (n=82) |
Physical culture institutions* (n=105) |
|||
|
% |
% |
|||
|
Prospect of interesting job in sport |
|
61.5 |
||
|
Interest in physical recreation |
48.7 |
|
||
|
Practicing elite sport before studies |
20.8 |
|
||
|
Desire to work in other physical culture institutions |
|
75.0 |
||
|
Conviction of necessity to obtain qualifications |
|
65.9 |
||
|
Necessity to obtain higher education |
|
31.6 |
||
|
Desire to work in schooling |
86.5 |
|
||
|
Conviction of attractiveness of studies |
|
72.9 |
||
*In order to achieve transparency of the results compiled in the tables, only those variables and their values which differentiated the opinions of the respondents have been included. Statistically significant independence of characteristics at p≤0.05 for the c2 test was assumed.

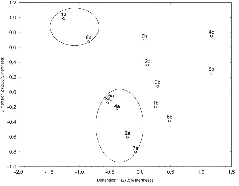
Fig. Relationships between motives of the choice of physical education studies and satisfaction drawn from that choice, and between the motives and career plans.
In order to determine closer relationships between the variables analyzed, multiple correspondence analysis (MCA) was employed (Fig. 1). It was found that: Individuals who had been driven by the desire to work in schooling while choosing the field of study (1a), still thought about becoming physical education teachers in future (6a); Individuals whose motive to choose the field of study was their interest in physical recreation (3a) were satisfied with the program of study (4a) and would choose physical education studies again (5a); Those who indicated the motive of getting an interesting job in sport (2a) intended their future careers to be connected with physical culture institutions (7a); Individuals who chose physical education studies for other reasons than: desire to work in schooling (1b), sport (2b) or physical recreation (3b) did not consider the job of a physical education teacher for their career (6b), but thought about employment not connected with physical culture institutions (7b); The last mentioned individuals were not satisfied with the field of study they had chosen (4b) and would not repeat that choice (5b).
Discussion
The advancing civilizational and technological development, with simultaneous unfavorable demographic changes (decreasing number of people at the pre-working age and rising number of people at post-working age), calls for changes which embrace the system of higher education, including instruction of physical education teachers. Keeping up with these changes and drawing new perspectives based on a thorough diagnosis of the needs of groups concerned has become essential to the proper functioning of the educational system at each level of education: elementary, secondary and higher [9, 15].
The present study has confirmed the hypothesis that sport-related motives (Having athletic predispositions, interest in physical recreation, possibility of developing an athletic career and practicing elite sport before studies) and career-related motives (prospect of an interesting job in sport or in physical culture institutions) are the most important in the choice of physical education studies. In 2000/2001 students from eight higher education institutions of physical education were studied [3]. It was found that in making the decision concerning the field of study the respondents were mainly guided by motives connected with sport (athletic predispositions, practicing sport at competition level). To a lesser degree their choice depended on career-related motives (prospect of the interesting job of a physical education teacher, desire to work with youth, desire to have an occupation connected with physical culture). The findings of the present study, conducted ten years later, indicate that sport-related motives have remained in the lead, but career-related motives have changed considerably. Physical education students at the Faculty of Physical Culture in Gorzуw Wielkopolski more often connected their future career with physical culture institutions and work in sport, and much less often with the job of a physical education teacher. Among other causes, this situation is a result of complex socio-demographic transformations in Poland, changes in the teachers’ training and educational systems, as well as increased competition from institutions of higher education in our country [6, 9] and abroad. On the one hand, the fourth physical education class introduced under the Basic Curriculum should create new jobs, but on the other hand, one of the results of the current demographic decline and the simultaneous raising of the retirement age of women and men in Poland is the difficulty in finding a job in school, with little prospects for positive changes in the future. In this situation, the respondents choosing physical education studies connect their career plans with physical culture institutions (in sports clubs, sports associations, the administration, private fitness clubs) more often than with the occupation of a physical education teacher.
In the research analyzed, the possibility of self-realization is perceived in a broader perspective, as continuation of an athletic career, obtaining an attractive profession, and achieving a higher education. In the findings of the present study, self-realization connected with the group of sport-related and career-related motives ranks higher [3]. For over 11% of the students physical education studies provided the basis for further education. Similar trends had been observed previously. The desire to obtain higher education and the associated acquisition of knowledge and further scientific development had dominated in the choice of studies [4].
The hypothesis that practicing sport and motives of the choice of the field of study are related to career plans of physical education students has been confirmed. Motives of choosing the field of study (the desire to work as a teacher, in sport, in physical recreation) coincide with satisfaction with the field of physical education and connecting career plans with work in physical culture. The relatively high level of identification with the field of education is reflected in the declarations of those students who would decide to choose this field again (69%) and are happy with the educational offer (74.3%). In comparison with the results of previous studies [5] this level of identification is lower (repeated choice and satisfaction with the studied were indicated by about 90% of the respondents). It should be noted, however, that, that the mentioned authors’ research was conducted in 2008/2009 at the Universities of Physical Education and Sport in Gdaсsk and Biaіa Podlaska, when there were still partial entrance examinations. Since 2009 there are no entrance examinations in most physical education institutions. Students are admitted for the courses on basis of comparison of candidates’ final high school examination certificates and medical certificates, without the need of presenting their athletic skills. Not without significance is also students’ level of general knowledge evidenced by poor results recorded in the final high school examination certificates. Satisfaction with the chosen field of study is expressed mainly by individuals involved in broadly understood participation in sport, in the past or at present. Those people will have many difficulties in combining studies with professional sports [10].It is therefore advisable that higher education institutions’ admission process should concentrate more on interviews and seek to identify the motives of future students of physical education [11] in order to improve the quality of instruction.
Conclusions
1. Individuals who chose to study physical education were mainly driven by sport-related motives (predispositions, athletic activity in the past) and career-related motives (becoming a physical education teacher or working for a physical culture institution).
2. Individuals who had practiced sport in the past, whose motives were mainly related to sport or career, planned to become physical education teachers, or get other occupations in sport or physical culture institutions.
3. These individuals were characterized by a high level of identification, expressed by their satisfaction with the school’s educational offer and declaration that they would choose the same field of study again.
4. The findings of the study are indications for the improvement of instruction quality at physical education schools of higher education and may contribute to a better adjustment of the program contents of the courses to the expectations of the labor market, and of the Polish educational system to the European standards.
References
- Barczyсski, B.J., B№k, R., Czarny, W., Kalina, R.M. Preferred by Polish students of physical education subject matter and type of bachelor theses in 2008–2010 /B.J. Barczyсski, R. B№k, W. Czarny, R.M. Kalina //Archives of Budo. – 2011. -Nє 7.- S. – 41-47.
- Biddle, S.J., O'Connell, S., Braithwaite, R. E. Sedentary behaviour interventions in young people: a meta-analysis /S.J. Biddle, S. O'Connell, R.E. Braithwaite //British Journal of Sports Medicine. -2011 - Nє 45 (11), S. 937-42.
- Brojek, A., Zajkowska-Magier, M. Motywy wyboru studiуw wychowania fizycznego (in Polish) /A. Brojek, M. Zajkowska-Magier //Rocznik Naukowy.- 2004. - Nє 11. – S. 63-79.
- 4. Buchta, K. Assessment of professional qualifications and educational plans by tourism and recreation graduates /K. Buchta //Polish Journal of Sport and Tourism. - 2008 - Nє 15. – S. 69-76.
- Buchta, K., Lisicki, K. Undergraduate studies in physical education in students’ opinion/ K. Buchta, K. Lisicki, //Polish Journal of Sport and Tourism. – 2011. - Nє 18. – S. 146-159
- 6. Cieњliсski, R. University education quality system – assumptions vs. practice in the context of the Bologna process /R. Cieњliсski //Polish Journal of Sport and Tourism. – 2009. - Nє 16. – S. 135-142.
- Жwi№kaіa-Matys, A. Pomiar efektywnoњci procesu ksztaіcenia w publicznym szkolnictwie wyїszym /A. Жwi№kaіa-Matys //Wrocіaw. – 2010. – S. 232.
- Entrepreneurship Education at School in Europe. National sStrategies, Curricula and Learning Outcomes. European Comission. 2012. http://eacea.ec.europa.eu/education/eurydice/documents thematic_reports/pdf.135EN (дата обращения 22.01.2013).
- Kalina, RM, Barczyсski, BJ. Eko-agro-fitness© original author continuous program of health-oriented and ecological education in the family, among friends or individually implemented – the premises and assumptions /RM. Kalina, BJ. Barczyсski //Archives of Budo. – 2010. - Nє 6(4). – S. 179-84.
- Lubysheva, L.I., Shukaeva, A.V. Optimization of sports and educational activities in terms of learning at school of Olympic reserve / Teoriya i praktika fizicheskoy kultury. – 2007. - Nє 12. – C.15-17. (In Russian)
- Mukhametdyanova, N.V. The peculiarities of the motivational sphere of future teachers of physical education at different phases of professional training / N.V. Mukhametdyanova // Teoriya i praktika fizicheskoy kultury. - 2011. - Nє 5. – P.23-26. (In Russian)
- Nowak, M.A. Physical Activity and its Associations with other Lifestyle Elements in Polish Women /M.A. Nowak// Journal of Human Kinetics. - 2011. - Nє 29. - S. 161-172.
- Nowak, M. Kitowska, M, Rynkiewicz, T, Kuriaсska-Woіoszyn, J, Їurek, P, Rynkiewicz, M: Health-oriented attitudes in amateur sumo wrestlers. /M.A. Nowak, M. Kitowska, M. Rynkiewicz, J. Kuriaсska-Woіoszyn, P. Їurek, M. Rynkiewicz.// Archives of Budo. – 2009.- Nє 5. - s. 165-169.
- Nowak, M.A: Relationships between the perception of the influence of physical activity on health and women’s engagement in exercise or their physical passivity. Women’s awareness of health benefits of physical activity /MA. Nowak. //Polish Journal of Sport and Tourism. – 2010. - Nє17(3). – S. 179-184.
- Panachev, V.D. Development of the students’ athletic culture. Educational-psychological and medicobiological problems of physical culture and sport. /V.D. Panachev.// Teoriya i praktika fizicheskoy kultury. – 2012. - №1 (22). – P. 1-6. (In Russian)
- Van Buuren, J., de Leeuw, J.V. Equality Constrains in Multiple Correspondence Analysis. /Van Buurren, J.V. de Leeuw. // Multiv. behav. res. 1992. - Nє 4. S. 567-83.
Author’s contacts: radzinska@awf-gorzow.edu.pl



Журнал "THEORY AND PRACTICE